盲法兰厚度计算
一、原理:
1.1
壁厚tm的计算依据是:
(1)垫片有效作用圆直径Dg(mm)
(2)设计压力P(MPa)
(3)在设计温度下的许用应力[σ]t(MPa)
(4)焊件的纵向焊接接头系数或铸件质量系数φ
(5)焊缝接头高温强度降低系数W
(6)盲板(双面)腐蚀裕量C(mm)
1.2
计算公式:
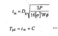
(1)盲法兰厚度计算tm(mm)公式:

tm(mm):盲板计算厚度;
Tpd(mm):盲板设计厚度;
二、说明:
2.1
标准说明:
(1)GB20801-2020 压力管道规范工业管道
(2)SH/T
3059-2012 石油化工管道设计器材选用规范
(3)HG/T
21547-2016 管道用钢制插板、垫环、8字盲板系列
(4)SH/T
3425-2011 石油化工钢制管道用盲板
(5)ASME
B31.3
压力管道规范工业管道
2.2
原理说明:
(1)Dg(mm):对于凸面、凹凸面或平面法兰,为垫片内径(D1);对于环连接面或榫槽面法兰,为垫片的平均直径(P);
(2)[σ]t (MPa):GB20801.2 (附录A_A.1);
(3)φ:GB20801.2 (附录A_A.3),使用整体钢板制作时,φ=1.0;
(4)W:GB20801.3 (4.2.7_表5);一般情况,W=1.0;
(5)C(mm):包括双面的腐蚀裕量、螺纹或沟槽深度等;碳钢、合金钢类材料管道用钢制插板、垫环、8字盲板的全腐蚀裕量不得小于1.5mm,共计不得小于3.0mm.
2.3
安装示意-法兰间的盲板:

三、例题:
3.1 HG/T20615,DN100,CL150,SMLS,RF,D1222,20#
GB/T8163,设计压力1.0MPa,设计温度250℃,计算盲板厚度;
解析:(1)经查:Dg=106.4mm(HG/T20631),[σ]t=132MPa,φ=1.0,W=1.0,C=3.0mm;
(2)计算tm=4.01mm;Tpd=7mm。
3.2 HG/T20615,DN100,CL1500,SMLS,RJ,R39,ASTM A106,设计压力15.0MPa,设计温度350℃,计算盲板厚度;
解析:(1)经查:Dg=161.93mm(HG/T20633),[σ]t=118MPa,φ=1.0,W=1.0,C=3.0mm;
(2)计算tm=25mm;Tpd=28mm。
四、更新日志:
4.1 第一次更新:2022年10月;